
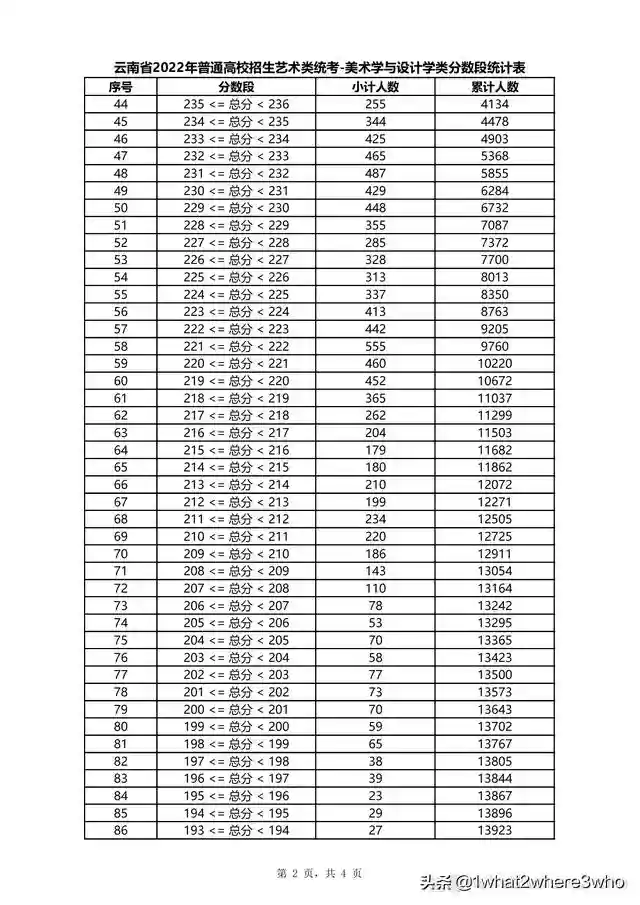
云南省2022年普通高校招生美术学与设计学类统考分数段统计表




云南省2022年普通高校招生器乐类统考分数段统计表





云南省2022年普通高校招生声乐类统考分数段统计表




云南省2022年普通高校招生舞蹈类统考分数段统计表




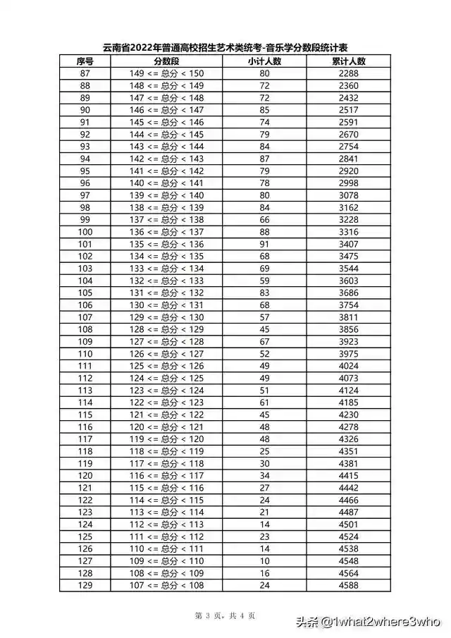
云南省2022年普通高校招生音乐学类统考分数段统计表




云南省2022年体育舞蹈统考总分分数段统计表



云南省2022年艺术类播音与主持专业统考总分分数段统计表








云南省2022年艺术类广播电视编导专业统考总分分数段统计表







云南省2022年艺术类书法学专业统考总分分数段统计表








云南省2022年普通高校招生美术学与设计学类统考分数段统计表




云南省2022年普通高校招生器乐类统考分数段统计表





云南省2022年普通高校招生声乐类统考分数段统计表




云南省2022年普通高校招生舞蹈类统考分数段统计表




云南省2022年普通高校招生音乐学类统考分数段统计表




云南省2022年体育舞蹈统考总分分数段统计表



云南省2022年艺术类播音与主持专业统考总分分数段统计表








云南省2022年艺术类广播电视编导专业统考总分分数段统计表







云南省2022年艺术类书法学专业统考总分分数段统计表






